Les filtres électrostatiques actifs sont moins énergivores et plus écologiques
La commission européenne au travers de son site web sur Site web sur l'écoconception et l'énergie des unités de ventilation étudie la consommation d'énergie des différents systèmes de ventilation existants.
Le rapport de janvier 2020 sur l'Écoconception et l'étiquetage énergétique des technologie de filtration - chapitre 5 (en anglais - voir traduction ci dessous) indique que :
- Les résultats de test de 1800 échantillons de filtres mécaniques prouvent que seule une petite partie des filtres à air certifiés ont une bonne performance énergétique ; le reste est certifié en classes C, D et E.
- Les filtres mécaniques nécessitent plus d'efforts et d'attention de la part des fabricants qui doivent améliorer leurs produits filtrants
- La filtration électrostatique passive :
- présente au final les mêmes inconvénients que les filtres mécaniques.
- Le dépôt de particules polluantes sur les fibres filtrantes permet de réduire immédiatement la capacité de réduction de la pollution.
- La filtration électrostatique active que nous utilisons dans nos caissons de désodorisation CDESO est considérée comme la plus satisfaisante à ce jour car elle :
- n'augmente pas la consommation d'énergie pendant l'utilisation
- aide à la réduction des flux de déchets des filtres traditionnels à base de fibres qui doivent être remplacés régulièrement et ne peuvent pas toujours être nettoyés
Par conséquent, la solution que nous avons retenu pour nos caissons de désodorisation CDESO, en plus d'être très efficace en production réelle, est donc la meilleure à ce jour sur le plan énergétique et écologique.

Écoconception et étiquetage énergétique (20 janvier 2020 - Traduction du chapitre 5)
Examen de l'étude sur le règlement sur l'écoconception et l'énergie des unités de ventilation élaboré par la commission européenne
Auteurs: Rob van Holsteijn, René Kemna, Martijn van Elburg, Roy van den Boorn, Leo Wierda.
Contact équipe d'étude : Rob van Holsteijn (r.van.holsteijn@vhk.nl)
Site web dédié : www.ecoventilation-review.eu
5.1 Introduction
Bien que la ventilation joue un rôle crucial dans le maintien d'un environnement intérieur propre, dans certains cas, les systèmes de ventilation peuvent également être une source de polluants atmosphériques en raison de l'air extérieur pollué, d'une conception inadéquate du système, de fuites internes et de contamination croisée, etc.
Ainsi, la technologie de filtration de l'air joue un rôle clé dans la protection de la santé humaine en éliminant les pollutions de l'air intérieur et extérieur.
La ventilation mécanique (échangeant l'air intérieur avec l'air extérieur à l'aide d'un ou plusieurs ventilateurs), consomme à la fois de l'énergie de chauffage et de l'électricité. L'utilisation de filtres augmentera la consommation d'électricité pour la ventilation car les filtres augmentent la résistance dans le chemin d'écoulement de l'air d'alimentation et d'évacuation. Il est donc important d'essayer de réduire la pression supplémentaire induite par les filtres. Pour donner une indication approximative : une augmentation de 50 pascals à des fins de filtration dans le flux d'air de ventilation de 110 m3/h en moyenne dans tous les logements de l'UE28 entraînerait une consommation électrique annuelle totale supplémentaire d'environ 6,5 TWh14 (26 kWh/an/hh ).
(...)
5.2 Filtration et chute de pression
Les filtres peuvent être utilisés pour filtrer à la fois les matières particulaires (PM) et les polluants en phase gazeuse (COV, odeurs, etc.) qui sont présents dans l'air extérieur ou intérieur. Cette section sur les filtres et la chute de pression se réfère uniquement aux filtres utilisés pour éliminer les particules, car il n'y a pas (encore) de normes d'essai pour les polluants en phase gazeuse et leur application pour l'air intérieur dans les bâtiments est encore limitée (voir plus d'explications sous section 5.3.2).
La consommation d'énergie représente avec environ 80% la plus grande part du coût total du cycle de vie des filtres. Les 20% restants concernent les investissements initiaux et l'élimination du filtre. La chute de pression demeure le point crucial de la consommation d'énergie.
Source : filterservices.com/pressure-drop-considerations-in-air-filtration
De toute évidence, la chute de pression du filtre n'est pas la même pour tous les types de filtres et toutes les marques de filtres existants. Il en va de même pour la chute de pression du filtre en fin de vie.
Pour évaluer les filtres, Eurovent a développé sa directive 4/21-2019 concernant l'efficacité énergétique des filtres à air à des fins de ventilation générale.

5.2.1 - Directive EUROVENT sur l'efficacité énergétique des filtres
Cette directive Eurovent mise à jour en novembre 2019 :
- Met en œuvre la classification EN ISO 16890 et les méthodes d'essai
- Définit les méthodes d'évaluation de l'efficacité énergétique
- Définit l'efficacité énergétique des filtres à air à des fins de ventilation générale
L'objectif de cette directive est d'évaluer la consommation d'énergie annuelle sur la base d'une procédure de test en laboratoire qui peut être la base d'une classification de l'efficacité énergétique, afin de donner à l'utilisateur des filtres à air des conseils pour la sélection du filtre.
Deux remarques importantes à ce sujet :
- Afin de réduire plus encore la consommation d'énergie en utilisant des filtres déjà performants, il est également nécessaire d'ajuster la vitesse du ventilateur pour fournir l'air demandé - si le ventilateur fonctionne à une vitesse fixe, abaisser la chute de pression des filtres à air entraînera une augmentation du débit d'air ; dans le pire des cas, cela peut même entraîner une situation dans laquelle le ventilateur fonctionne dans une plage avec une efficacité inférieure entraînant une augmentation globale de sa consommation.
- La méthode fournie dans ce document est basée sur des données d'essais en laboratoire avec des conditions d'essai normalisées, qui peuvent différer considérablement de l'application individuelle dans une unité de ventilation d'un bâtiment. Par conséquent, la consommation d'énergie annuelle calculée conformément à cette directive ne peut être utilisée que comme indicateur pour le système de classification et ne concerne que la contribution des filtres à air concernés. La consommation annuelle d'énergie dans une application individuelle réelle peut en différer considérablement.
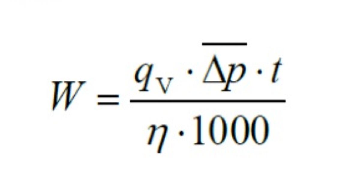
Le principe de calcul utilisé est le suivant :
- La consommation d'énergie d'un ventilateur dans une centrale de traitement d'air peut être évaluée en fonction du débit volumique fourni par le ventilateur, de l'efficacité du ventilateur, du temps de fonctionnement, de la différence de pression totale (pression statique plus dynamique) après le ventilateur et la pression statique de l'air ambiant (en supposant que le ventilateur aspire l'air d'un réservoir statique). Typiquement, le débit volumique fourni par le ventilateur et la différence de pression que le ventilateur doit surmonter sont liés l'un à l'autre par la courbe caractéristique du ventilateur. L'efficacité du ventilateur est fonction de la vitesse du ventilateur. L'efficacité réelle du ventilateur dépend également fortement de la conception et de la disposition du ventilateur et peut être dans le meilleur des cas aussi élevée que 0,80 ou même supérieure, et dans le pire des cas aussi faible que 0,25 ou même inférieure.
- La portion de la consommation d'énergie annuelle totale liée à la chute de pression des filtres peut être calculée à l'aide de l'équation ci-dessous :

Où : qV = 0.944 m3/s, t = 6000 h/a and η = 0.5
Pour une description détaillée de la méthode de test et d'évaluation, voir la dernière version de la directive Eurovent 4/21-2019 concernant l'évaluation de l'efficacité énergétique des filtres à air à des fins de ventilation générale.
Le programme de certification s'applique aux éléments de filtre à air classés ISO PM1, PM2.5 et PM10 (selon EN ISO 16890) se référant à une taille avant de 592 x 592 mm et des débits d'air nominaux compris entre 0,24 et 1,5 m3 / s. Les filtres doivent être déclarés conformément à l'un des groupes de filtres suivants (voir les tableaux suivants).

Par rapport à l'édition précédente, la version de novembre 2019 comprend désormais une annexe 1 dans laquelle une méthode est donnée pour recalculer la consommation d'énergie à un débit d'air différent de celui nominal (testé). Cette formule simple a été développée sur la base de plusieurs tests effectués par différents fabricants. La formule fonctionne bien dans la gamme de classification Eurovent. Plus l'écart du débit d'air réel par rapport au débit nominal est faible, plus sa précision est élevée
Dans leur étude « Statut des caractéristiques des filtres à air et efficacité énergétique », les auteurs ont analysé un échantillon de 1800 résultats de tests de filtres certifiés. Les résultats (voir la figure ci-dessous) prouvent que seule une petite partie des filtres à air certifiés ont une bonne performance énergétique et le reste est certifié en classes C, D et E. Les auteurs concluent que les filtres thématiques nécessitent plus d'efforts et d'attention de la part des fabricants pour aller plus loin et améliorer leurs produits filtrants.

5.2.2 Développements PM-filtres et chute de pression
Comme on peut le déduire de la section précédente, il y a encore beaucoup à gagner en ce qui concerne la performance énergétique des filtres. Un système d'étiquetage développé par Eurovent et ses membres peut devenir un instrument important dans la recherche de pertes de charge réduites dans la technologie des filtres.
Une technologie qui mérite d'être mentionnée dans ce contexte est l'utilisation de filtres électrostatiques.
L'EN ISO 16890 permet le test et l'évaluation des filtres électrostatiques. L'avantage des filtres électrostatiques par rapport aux filtres traditionnels à base de fibres peut être que :
- En raison du principe de fonctionnement, la chute de pression peut en principe être faible (inférieure) par rapport aux filtres à base de fibres.
- La chute de pression reste constante ou n'augmente que légèrement avec l'augmentation de la charge de poussière, ce qui implique que le contrôle du débit dans le but de compenser l'augmentation des pertes de charge n'est pas nécessaire.
Par conséquent, la consommation d'énergie due au filtre est constante et n'augmente pas pendant l'utilisation.

À titre de comparaison, un calcul est effectué de la consommation annuelle d'électricité pour un filtre électrostatique ePM1: 70% avec un ΔP moyen de 62 Pa et un filtre à poche ePM1: 70% avec un ΔP moyen de 215 Pa.
- Filtre électrostatique FE600 ePM1: 70% - E = 0.944*62*6000 / (0.5*1000) = 351168/500 = 702 kWh/an
- Filtre de poche moyen ePM1: 70% - E = 0.944*215*6000 / (0.5*1000) = 1217760/500 = 2435 kWh/an
Types de filtres électrostatiques
On distingue deux types de filtres électrostatiques : les filtres électrostatiques passifs et actifs.
Le principe général des filtres électrostatiques passifs dans la technologie des systèmes de filtrage électrostatique concerne l'effet électrostatique qui se produit lorsqu'une particule polluante (poussière, fumée, fibres, etc ...) a sur sa surface une charge électrique (positive et / ou négative) qui la fait adhérer à une autre surface (fibres filtrantes, murs, rideaux, écrans TV et portables, etc.) à charge égale mais opposée.
Si la masse de particules est suffisamment petite, la charge électrique présente à sa surface la fait adhérer à une autre charge électrique opposée, présente à la surface du filtre du matelas. En appliquant cet effet électrostatique, des rendements de filtrage élevés peuvent être obtenus, également pour des tailles de particules plus petites.
Filtres électrostatiques passifs
Lorsque ce phénomène est amplifié artificiellement, en chargeant électrostatiquement les fibres d'un filtre, on obtient un filtre électrostatique passif qui, pour bien fonctionner, doit être réalisé avec des fibres de résistivité électrique très élevée, comme par exemple les fibres plastiques rectangulaires.
Son aspect négatif est que le seul dépôt de particules polluantes sur les fibres filtrantes permet de réduire immédiatement la capacité de réduction de la pollution.
De plus, si l'environnement est particulièrement humide, l'eau contenue dans l'air se condense à la surface des fibres et élimine en très peu de temps chaque charge électrique, transformant le produit en un simple filtre à tamis mécanique. Pour surmonter ce problème, des systèmes de filtrage dits « tampons » ont été créés, dans lesquels les moyens de filtrage sont immergés dans un champ électrique maintenant la puissance d'attraction et la rétention des polluants.
Le côté négatif de cette solution est que le système dépendant d'un matelas filtrant qui, même chargé électrostatiquement, présentera au final les mêmes inconvénients que les filtres mécaniques.
Filtres électrostatiques actifs
La filtration avec un système électrostatique actif consiste en un système diphasique grâce auquel il est possible d'obtenir la précipitation des particules solides ou liquides contenues dans le flux d'air sous l'action d'un champ électrique.

Dans une première phase, l'air qui traverse le filtre électrostatique du système FE est soumis à l'action d'un champ électrique à ionisation positive, généré par un fil alimenté à haute tension électrique placé entre deux plaques reliées à la terre : ce champ provoque la libération des ions positifs, générant un phénomène connu sous le nom de couronne de décharge.
Les charges électriques qui migrent entre l'électrode et les surfaces mises à la terre entrent en collision avec les particules d'air présentes dans le flux d'air, leur donnant une partie de leur charge électrique positive.
Dans la deuxième phase, le flux gazeux précédemment chargé traverse le champ électrique du captage : il est constitué de plaques chargées positivement et de plaques reliées à la terre, disposées alternativement.
Grâce à cette forme du filtre électrostatique du système FE et à la participation de la force électrostatique, les particules solides contenues dans l'air sont attirées vers les plaques de captage chargées positivement, car elles sont chargées négativement.
Périodiquement, en fonction de la concentration des polluants, il est nécessaire de laver le filtre avec un détergent particulier, afin de garantir une meilleure performance et un cycle de vie plus long du produit.
En ce sens, l'application de filtres électrostatiques actifs peut également aider à réduire les flux de déchets des filtres traditionnels à base de fibres qui doivent être remplacés régulièrement et ne peuvent pas toujours être nettoyés.
